Номер 302 - ГДЗ Алгебра 8 класс. Мерзляк, Полонский. Учебник. Страница 73

Вернуться к содержанию учебника

Упражнения § 9. Страница 73

299 300 301 302 303 304 305

Вопрос

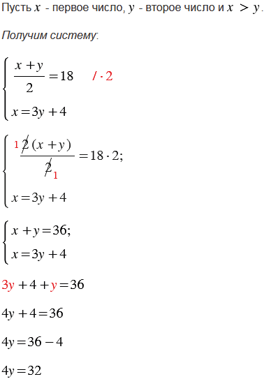
Среднее арифметическое двух натуральных чисел равно 18. При делении большего из этих чисел на меньшее получим неполное частное 3 и остаток 4. Найдите эти числа.

Подсказка

Ответ


Вернуться к содержанию учебника